e4 Robert Jacobs 運營管理 v15

應用舉例

例1

日升烘焙公司向一系列的食品商店銷售油炸圈餅。公司一直經歷著因為預測錯誤所導致的過剩以及供不應求的狀況。下面的數據是它過去4周以來對油炸圈餅的需求(單位是打)。油炸圈餅是為第二天生產的,例如,週日油炸圈餅的生產是為了滿足週一的銷售,週一的生產是為了滿足週二的銷售,依此類推。麵包店在週六會關門,因此週五的生產必須能同時滿足週六和週日的需求。

根據如下要求預測本週的需求:

a.使用4周的簡單移動平均計算每天的需求;

b.使用加權平均預測每天的需求量,過去4周的權重分別為0.40、0.30、0.20以及0.10。

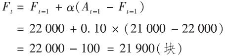
c.公司也在對其生產麵包所需要的原材料制訂計劃。如果上週的麵包需求量預測為22 000塊,但是實際需求量僅有21 000塊,那麼使用指數平滑法,公司本週的預測量將是多少(α=0.10)?

d.假設使用c中的預測量,本週的實際需求變成了22 500塊。下週的新預測量會是多少?

解答

a.4周的簡單移動平均為:

b.加權平均。權重分別為0.40、0.30、0.20、0.10。

c.對面包需求的指數平滑預測為:

d.指數平滑預測為:

例2

給定以下信息,利用趨勢指數平滑法和線性迴歸法為5月做出預測。

對於趨勢指數平滑法,假定過去有趨勢的預測(4月)是800單位,過去趨勢分量是50單位,且α=0.3,δ=0.1。

對於線性迴歸法,利用1~4月的需求數據來匹配迴歸線。利用Excel的迴歸函數SLOPE和INTERCEPT來計算這些值。

解答

趨勢修正指數平滑法

利用以下三個步驟來更新每個階段的預測值:

1.無趨勢預測Ft =Ft- 1 +α(At- 1 -Ft-1

2.更新趨勢估計Tt =Tt- 1 +δ(Ft -FITt- 1

3.新的包含趨勢的預測FITt =Ft +Tt

給定FIT4月 =800

T4月 =50

F5月 =800+0.3×(790-800)=797

T5月 =50+0.1×(797-800)=49.7

FIT5月 =797+49.7=846.7

線性迴歸法

1.建立問題並且計算斜率和截距。

2.利用線性迴歸來預測:

Ft =a+bt

此處a為斜率,b為截距,t為5,則:

F5=685+29×5=830

例3

下表是過去兩年的季度性數據。從這些數據當中,使用分解的方法為來年做預測。

解答

(要注意,由於取整,你所得到的數據可能有些許的差別。這裡的數據是使用Excel電子表格得到的。)

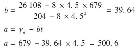
第3欄是季節平均。例如,第一季度的平均是:

第4欄是季度平均(第3欄)除以總平均(679)。第5欄是實際需求量除以季節指數。要計算t2和ty,我們建立如下表格。

現在我們可以為去除季節性因素的數據計算迴歸結果。

因此,去除季節性因素的迴歸結果是:

Y=500.6+39.64t

例4

一個具體的預測模型被用來預測某種特定產品的需求,預測需求量和相應的實際需求量如下表所示。使用平均絕對離差以及追蹤信號方法來評價預測模型的準確性。

解答

使用平均絕對離差和追蹤信號評價模型。

沒有足夠的證據可以否定該預測模型,所以我們可以使用它。