e4 Robert Jacobs 運營管理 v15
客觀題
4-1
1.根據變革的量可以將項目分成哪三類?
2.根據變革的類型可以將項目分成哪四類?
3.將下面的特徵與項目團隊組織結構匹配起來:

4.將一系列項目活動分配到單一的組織單元中,這被稱作什麼?
4-2
5.下表所示的是要使用關鍵路徑法的項目的部分活動。

a.畫出網絡圖。
b.關鍵路徑是哪一條?
c.完成這個項目需要多少周?
d.活動B有多少鬆弛時間?
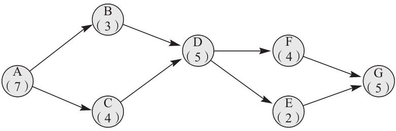
6.用關鍵路徑法為下面的活動制訂計劃。

a.畫出網絡圖。
b.關鍵路徑是哪一條?
c.完成這個項目需要多少周?
d.哪一個活動有鬆弛時間?鬆弛時間是多少?
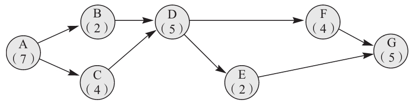
7.研發部正計劃投標一個大型項目,為商用飛機開發一個新的通信系統。下表給出了項目要求的活動、時間及序列。

a.畫出網絡圖。
b.關鍵路徑是哪一條?
c.假如你想要儘可能地縮短完工時間,且你可以任意將活動B、C、D和G縮短一週時間,你將選擇縮短哪一個活動?
d.新的關鍵路徑是哪一條?最早完工時間是多少?
8.下表所示是計劃使用關鍵路徑法(CPM)來規劃的某個項目。

a.畫出網絡圖。
b.找出關鍵路徑。
c.項目的期望完成時間是多少天?
d.項目在16天內完成的概率是多少?
9.已知下面這個項目在X周內完成的概率為82%,求X的值為多少?


10.下表所示是一個項目的計劃。

a.畫出網絡圖。
b.找出關鍵路徑。
c.項目的期望完成時間是多少?
d.你可以選擇下列任意一項操作,但必須增加額外費用1 500美元。
(1)工作5的時間減少2天。
(2)工作3的時間減少2天。
(3)工作7的時間減少2天。
假如項目每提前一天完工可以節省1 000美元。你會選擇怎樣做?
e.項目超過30天才能完工的概率是多少?
11.一項建築工程被分解成了如下10個活動。

a.請畫出該項目的網絡圖。
b.找出關鍵路徑。
c.如果活動1和10不能壓縮,但是活動2~9可以壓縮一週,且每壓縮一週的成本為10 000美元。如果要將整個項目縮短4周,你會壓縮哪些活動?
12.下圖是應用關鍵路徑法畫出的網絡圖,且標出了活動時間(單位:周)。

a.找出關鍵路徑。
b.這個項目完工需要幾周?
c.假設F可以縮短2周、B可以縮短1周。這對最終的項目完工時間有何影響?
13.下圖是一項工程的網絡圖,且標出了活動時間(單位:天)。

a.找出關鍵路徑。
b.每個活動的常規時間、趕工時間及趕工費用,如下表所示。

假如項目打算縮短4天時間,找出要縮短時間的活動並計算出最終費用。
14.一家百貨商場的會計部門每月要向商場的採購代理商提供庫存報告,有關資料如下,請用關鍵路徑法確定:
a.整個過程所需的時間。
b.在不影響後續工序最早開始時間的提前下,哪些工作可以延遲?

15.網絡圖如下所示。

a.確定關鍵路徑和項目最早完工時間(單位:周)。
b.數據如下表所示,要求項目完工時間縮短3周。假設成本增加與時間縮短之間呈線性關係,請逐步說明應該如何安排計劃。

16.關鍵路徑網絡圖已經估計出了每個活動所需的時間,以周為單位,如下圖所示。

a.確定關鍵路徑。
b.完成項目所需的時間。
c.哪個活動存在鬆弛時間,鬆弛時間是多少?
d.下表是常規和趕工的時間與費用。要求完工時間減少2周,則應該縮短哪些活動的時間?增加的費用是多少?關鍵路徑是否有變化?

17.Bragg麵包店正在Sandusky鎮建立一家自動麵包房,下面是建造麵包房和安置機器所必需的活動。

a.繪製網絡圖。
b.在常規時間下,項目完工所需時間是多少?
c.如果所有的活動都趕工至最短時間,項目完工所需時間是多少?
d.麵包房若一週不營業,則損失利潤3 500美元。因此希望趕工費用超過每週3 500美元時就停止趕工,這時項目完工需花費多少周的時間?
18.假設某項目網絡圖和數據如下表所示。
a.繪製網絡圖。
b.在常規時間下,確定關鍵路徑。
c.根據每一個活動的費用計算出在某項目週期內完成項目的最小總費用。分別考慮項目週期為13、14、15、16、17和18周的情況。

d.如果在每一個項目週期中,間接成本分別為400美元(18周)、350美元(17周)、300美元(16周)、250美元(15周)、200美元(14周)和150美元(13周),計算每一種情況下的項目成本。計算出成本最少的項目週期。
4-3
19.假設你的一個計劃為40天的慈善捐贈項目現在已進行到第30天了。該項目包括三個活動。第一個活動是籌集個人捐贈,這個活動的計劃時間為項目的前25天,計劃籌集金額為25 000美元。儘管項目已經進行了30天,但是這一部分的活動只完成了90%。第二個活動是企業捐贈,這個活動計劃的時間為項目的第5~35天,共30天。預計該活動目前應完成83%(=25/30),但實際上只完成了50%。這一部分活動計劃籌集捐款金額為150 000美元。最後一個活動是籌集配對基金。這個活動的計劃時間為項目的最後10天,目前尚未開始。這個活動預計籌集捐款金額為50 000美元。到目前為止,項目實際籌集資金為175 000美元。
請計算出計劃偏差、計劃執行指標和成本(這裡為實際成本)執行指標。請問這個項目進展如何?提示:本案例用於衡量項目進展的是收入而非成本。請仔細分析各個指標的含義。
20.一項造橋項目似乎進行得十分順利,因為項目計劃合理,成本看起來很低。主要的項目里程碑是前兩個活動,且已經全部完工,而第三個活動也已完成60%。計劃人員原計劃這個時間點第三個活動只應完成50%。第一個活動是大橋的選址,該活動原計劃要支出1 420 000美元,而完成時只用了1 300 000美元。第二個活動是注入水泥,這個活動的預計成本為10 500 000美元,而實際成本只有9 000 000美元。第三個活動是完成橋跨結構部分,這個活動總預算成本為8 500 000美元,到目前為止一共支出5 000 000美元。
請計算出計劃偏差、計劃執行指標和成本執行指標,並評價該項目進展如何。
4-4
21.在項目管理信息系統中可以用哪種方法解決過量分配的問題?
22.最主要且廣泛應用於大型項目管理的項目管理信息系統是哪個?
23.為了更容易地看到兩者的偏差,可以將實際計劃與基準計劃並排繪於哪種圖上?